找回密码
 注册

微信登录,快人一步

QQ登录

只需一步,快速开始

楼主: 绿茵场

难忘灾区,难忘经历,难忘战友,想念大家

[复制链接]
 楼主| 发表于 2008-7-6 22:58 | 显示全部楼层

人工流动水洗手区

人工流动水洗手区.JPG
回复

使用道具 举报

 楼主| 发表于 2008-7-6 22:58 | 显示全部楼层

时时不忘hh

时时不忘hh.JPG
回复

使用道具 举报

发表于 2008-7-6 22:59 | 显示全部楼层

回复 #37 wen8023_绿茵场 的帖子

我们的英雄!那天没能见到您,很遗憾!还想给您喝两盅;P ,峨眉山去了吗?
回复

使用道具 举报

 楼主| 发表于 2008-7-6 22:59 | 显示全部楼层

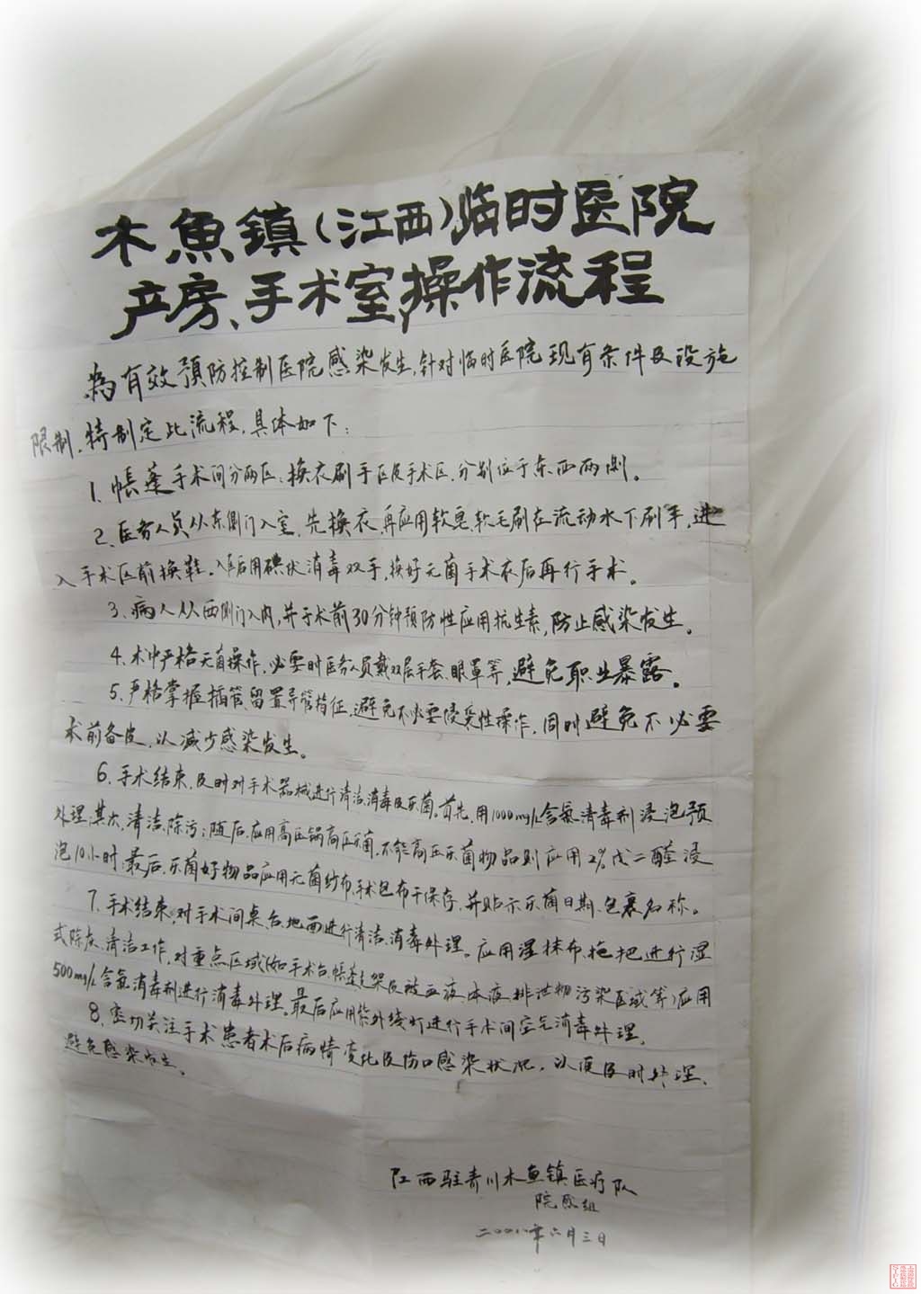
感控措施

感控措施.jpg
回复

使用道具 举报

 楼主| 发表于 2008-7-6 23:00 | 显示全部楼层

器械清洗

器械清洗.JPG
回复

使用道具 举报

 楼主| 发表于 2008-7-6 23:01 | 显示全部楼层

已灭菌包

已灭菌包.JPG
回复

使用道具 举报

 楼主| 发表于 2008-7-6 23:09 | 显示全部楼层

雨天情景

雨天情景.jpg
回复

使用道具 举报

 楼主| 发表于 2008-7-6 23:11 | 显示全部楼层

最初的设想

最初的设想.jpg

刚开始时,没有任何可以灭菌设施,只好想到了这个,不过最终没有用,后来我有了电磁炉,再后来就有了专用灭菌锅。
回复

使用道具 举报

 楼主| 发表于 2008-7-6 23:12 | 显示全部楼层

我们所处的工作温度

我们所处的工作温度.JPG
回复

使用道具 举报

 楼主| 发表于 2008-7-6 23:13 | 显示全部楼层

夜班ing

值夜班.JPG
回复

使用道具 举报

 楼主| 发表于 2008-7-6 23:14 | 显示全部楼层

损失惨重

损失惨重.JPG
回复

使用道具 举报

 楼主| 发表于 2008-7-6 23:14 | 显示全部楼层

特殊的“六一节”

特殊的“六一节”.JPG
回复

使用道具 举报

 楼主| 发表于 2008-7-6 23:15 | 显示全部楼层

送别感人一幕

送别我们的哭着的孩子和家长.JPG

送别我们的哭着的孩子和家长

评分

参与人数 1 +10 文点 +2 收起 理由
布衣 + 10 + 2 感人!

查看全部评分

回复

使用道具 举报

 楼主| 发表于 2008-7-6 23:19 | 显示全部楼层

美丽的天府广场夜景

美丽的天府广场夜景.JPG

天府广场是美丽的,在四川的日日夜夜里是值得的,祝福四川,祝福灾区人民,愿你们早日重建好家园,期待若干日子后重返灾区,不,以后就不再叫灾区了,应该叫重返你们美好的家园!:victory:
回复

使用道具 举报

 楼主| 发表于 2008-7-6 23:21 | 显示全部楼层

回复 #44 hxwsw 的帖子

呵呵,峨眉山没有去哦,时间太紧了,我们去了下乐山!
在深圳让我深深记住了你这位大哥,下次见啦!:handshake
回复

使用道具 举报

发表于 2008-7-6 23:41 | 显示全部楼层
好啊,因地制宜,严防感染。。。。。。
回复

使用道具 举报

发表于 2008-7-6 23:44 | 显示全部楼层

回复 #56 wen8023_绿茵场 的帖子

辛苦啦战友!你是我们感染控制专职人员的骄傲!你为灾区人民所做的一切,都将成为我们学习和激励的力量!:victory: :victory: :victory: :victory: :victory:
回复

使用道具 举报

发表于 2008-7-7 11:49 | 显示全部楼层

回复 #56 wen8023_绿茵场 的帖子

辛苦了!待了这么长时间!
回复

使用道具 举报

发表于 2008-7-7 12:11 | 显示全部楼层
回复

使用道具 举报

  • 打卡等级:小镇青年
  • 打卡总奖励:388
  • 最近打卡:2025-09-10 14:06:21
发表于 2008-7-12 23:24 | 显示全部楼层
这是我们的足球场先生版主,前些时去抗灾救援的亲身经历。到目前为止,就我所知,本论坛已有2位版主和2位会员去一线救灾过了,他们均为川外专家!
W版是支援院感建设的!我很感动!感动他那么年轻,就能在那样艰苦的条件下,因地制宜,用棉签写制度,用野炊来消毒!
我也欣喜地看到在我们医疗队的帮助下,受灾同胞们的医疗条件一天天好起来!
现在,各省还继续派医疗队去帮助重建家园,这是一项长期的任务,我院就有医生和护士去了青川,说不定哪天还需要院感人员的派驻呢!大家先参考一下W版的好办法吧!
回复

使用道具 举报

您需要登录后才可以回帖 登录 | 注册 |

本版积分规则

关闭

站长推荐上一条 /1 下一条

快速回复 返回顶部 返回列表